| 1. |
Een doos zonder deksel heeft
afmetingen 2x bij x bij h en inhoud 400.
Voor de oppervlakte van de doos geldt dan O = 2x2
+ 1200/x |
 |
| |
|
|
| |
a. |
Toon deze formule aan. |
| |
|
|
| |
b. |
Bepaal de minimale oppervlakte van zo'n doos. |
| |
|
|
|
| 2. |
De prijs (P) die je voor een taxirit
moet betalen bestaat uit een basisbedrag B, een bedrag per
km en een bedrag per minuut. Die drie bedragen leveren samen de
volgende formule op: P = B + 0,18a + 0,35t
Daarin is a de afstand in km en t de tijd in
minuten. |
| |
|
|
|
| |
a. |
Een bepaalde taximaatschappij vraagt
voor een ritje van 12 minuten over een afstand van 8 kilometer
een bedrag van €8,84.
Hoeveel zal een ritje van 8 minuten over 5 km bij deze
maatschappij kosten? |
| |
|
|
|
| |
Een andere maatschappij
vraagt een basisbedrag van €4,50.
Als de gemiddelde snelheid van een rit 40 km/uur is, dan geldt
voor de prijs de volgende formule:
P(t) = 4,50 + 0,47t. |
| |
|
|
|
| |
b. |
Toon aan dat die formule klopt.
|
| |
|
|
|
| |
c. |
Geef een formule voor P(a)
bij deze maatschappij, weer bij een gemiddelde ritsnelheid van
40 km/uur. |
| |
|
|
|
| 3. |
Een boer gaat in zijn
land een stuk omheinen. Hij wil met zijn omheining een
rechthoekig stuk in drie kleinere rechthoeken verdelen. zoals
hiernaast staat geschetst. In totaal heeft hij 240 meter gaas
tot zijn beschikking. Als hij alle gaas gaat gebruiken geldt
voor de totale oppervlakte van de drie stukken samen
O =
120L - 2L2 |
 |
| |
|
|
| |
a. |
Toon deze formule aan |
| |
|
|
| |
b. |
Bereken de maximale oppervlakte die de boer kan
omheinen. |
| |
|
|
|
| |
|
|
|
| 4. |
Van 200 cm ijzerdraad
maak ik de regelmatige vierzijdige piramide hiernaast.
Voor de inhoud daarvan geldt I = 4/3
• x2 •√(2500 - 200x
+ 2x2) |
 |
| |
|
|
| |
a. |
Toon deze formule aan. |
| |
|
|
| |
b. |
Bepaal de maximale inhoud van zo'n piramide. |
| |
|
|
|
| |
|
|
|
| 5. |
Een vliegtuigvleugel
heeft een zodanige vorm dat de lucht aan de bovenkant sneller
langs de vleugel stroomt dan de lucht aan de onderkant. Volgens
de wet van Bernouilli heeft lucht die met een lagere snelheid
stroomt een hogere druk. Dat betekent dat de druk aan de
onderkant van een vliegtuigvleugel groter is dan aan de
bovenkant. Het resultaat is een kracht verticaal omhoog; de
zogenaamde liftkracht FL.
De grootte van de liftkracht wordt gegeven door de formule:
FL = 0,5 • cL •
ρ • v2 • A
Daarin is v de kruissnelheid (in m/s)
, A het vleugeloppervlak (in m2),
ρ de luchtdichtheid, en cL een
constante.
De luchtdichtheid is 0,33 kg/m3 en voor de
meeste vliegtuigen is cL = 0,56.
FL moet, als het vliegtuig horizontaal blijft, gelijk
zijn aan het gewicht van het vliegtuig vermenigvuldigd met de
zwaartekrachtsversnelling g = 9,8. |
| |
|
|
|
| |
a. |
Een jumbojet van 320 ton heeft
een vleugeloppervlak van 540 m2. Bereken de
kruissnelheid. |
| |
|
|
|
| |
De bovenstaande formule is te
schrijven als: A = 106 • G/v² |
|
| |
Daarin is G het gewicht van het
vliegtuig. |
 |
| |
|
|
| |
b. |
Toon dat aan. |
| |
|
|
| |
De grafiek van A(v) staat
hiernaast voor verschillende gewichten. |
| |
|
|
| |
c. |
Welk vliegtuiggewicht hoort er bij de onderste
grafiek? |
| |
|
|
| |
Tijdens een vlucht wordt een
vliegtuig echter steeds lichter, omdat het brandstof verliest.
Een jumbojet heeft in het begin vaak zo'n 90 ton aan brandstof |
| |
|
|
|
| |
d. |
Hoe volgt uit de figuur hiernaast
dat dan de kruissnelheid groter zal worden? |
| |
|
|
|
| 6. |
Bij
sporten als tennis en volleybal is de service erg belangrijk. We
bekijken in deze opgave de service bij tennis. De speler staat bij het
serveren 12 meter van het net, en het net is 1 meter hoog. We nemen aan
dat de speler de bal raakt op een hoogte van 2,5 meter. (Ter
vereenvoudiging gaan we ervan uit dat de speler de bal precies in de
lengterichting van het veld slaat). Hieronder staat de situatie
schematisch weergegeven. |
| |
|
|
|
| |
 |
| |
|
|
|
| |
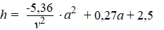
h
is de hoogte van de bal boven de grond, a de horizontale afstand.
Het verband tussen h en a hangt af van de snelheid v
(in m/sec) waarmee de bal geslagen wordt en van de beginhelling.
Voor een beginhelling van 0,27
blijkt te gelden:
|
| |
 |
| |
|
|
|
| |
a. |
Laat
voor een paar waarden van v zien dat deze formule inderdaad
beginhelling 0,27 oplevert. Geef een duidelijke uitleg van je werkwijze. |
| |
|
|
|
| |
Als
een service geldig is moet hij aan twee voorwaarden voldoen: |
| |
|
1e.
De bal moet over het net gaan.
2e.
De bal mag niet verder dan 7 meter voorbij het net de grond
raken. |
| |
|
|
|
| |
Als
de snelheid te laag is, wordt niet aan voorwaarde 1 voldaan, maar als de
snelheid te hoog is wordt niet aan voorwaarde 2 voldaan. |
| |
|
|
|
| |
b. |
Bereken
algebraïsch tussen welke grenzen de snelheid moet liggen voor een
geldige service. |
| |
|
|
|
| |
De
grootste hoogte (H) die de bal onderweg bereikt hangt ook af van de
snelheid.
Uit bovenstaande formule is af te leiden dat geldt H = 0,0034v2 + 2,50 |
| |
|
|
|
| |
c. |
Bereken
algebraïsch bij welke snelheid de bal tot 4 meter hoog komt. |
| |
|
|
|
| 7. |
Examenvraagstuk HAVO wiskunde A,
2005 (gewijzigd) |
| |
|
|
|
| |
De biomechanicus R. McNeill Alexander heeft van een
diersoorten de relatie tussen paslengte, snelheid en grootte
bepaald. Uit zijn onderzoek is een formule afgeleid die een goede
schatting geeft voor de snelheid van deze dieren:
v = 2,81 • s1,67
• h-1,17
Hierin is:
• v de snelheid in kilometer per uur
• s de paslengte in meter, de afstand tussen twee
opeenvolgende voetafdrukken van dezelfde voet
• h de heuphoogte in meter
De formule geldt voor zowel twee- als viervoeters, zowel groot
als klein, dus ook voor katten en honden.
|
| |
De buurman, die van het onderzoek gehoord
had, werd nieuwsgierig en ging een middagje fietsen met zijn hond. Het
beest bleef keurig naast hem rennen, bij elke snelheid die hij fietste.
Volgens de buurman had zijn hond een paslengte van ongeveer anderhalve
meter, toen de snelheidsmeter 15 km/uur aangaf. De heuphoogte van zijn
hond is 40 cm. |
| |
|
|
|
| |
a. |
Bereken de paslengte van de hond in cm nauwkeurig. |
| |
|
|
|
| |
Neem aan dat de formule van McNeill Alexander
ook geldt voor dinosauriërs.
Een vuistregel voor dinosauriërs is:
de hoogte h van de heup is viermaal de lengte l van de
voetafdruk, ofwel h = 4 • l, met h en l
beide in meter.
Van een Brontosaurus zijn voetafdrukken gevonden met een lengte van
91 cm.
De bijbehorende paslengte is 3,5 meter. |
| |
|
|
|
| |
b. |
Bereken de snelheid van deze Brontosaurus toen hij deze
voetafdrukken achterliet. |
| |
|
|
|
| |
Uit de verbanden v = 2,81 • s1,67
• h -1,17 en h = 4 • l kan
het volgende verband worden afgeleid:
v = c • s1,67
• l -1,17
Hierin is c een constante. |
| |
|
|
|
| |
c. |
Bereken c. Rond je antwoord af op drie decimalen. |
| |
|
|
|
| |
|
|
|
| 8. |
Examenvraagstuk HAVO wiskunde A,
2009 (gewijzigd) |
| |
|
|
 |
| |
Een opgeblazen papieren zak heeft,
net als een kussen, een speciale vorm. Pas in 2004 is er een formule
gevonden waarmee het volume van die vorm kan worden berekend.
Van een platte rechthoekige zak of kussen noemen we de kortste
zijde a (in dm) en de langste zijde b (in dm). Zie de
figuur hiernaast. Het volume V (in liter) van de opgeblazen zak of het
kussen kan dan berekend worden met de formule:
V = a3 • (0,142 • 0,1r + 0,318 • r − 0,142)
Hierin is r de verhouding tussen de zijden: r = b/a
Een bedkussen heeft afmetingen van 4 dm bij 6 dm. |
| |
|
|
|
| |
a. |
Bereken het volume van dit kussen. |
|
| |
|
|
|
| |
Voor een vierkant kussen met zijden a
kan bovenstaande formule vereenvoudigd worden tot V = 0,1902 •
a3 . |
| |
|
|
|
| |
b. |
Toon dit aan. |
|
| |
|
|
|
| 9. |
Examenvraagstuk HAVO wiskunde A,
2009 |
| |
|
|
|
| |
Voor vuilniszakken
bestaat er een formule om het volume te berekenen. Een volle
vuilniszak wordt bovenaan dichtgeknoopt en krijgt daardoor ook
een bijzondere vorm. Zie de foto hiernaast.
Het volume V (in liter) wordt berekend met:
Hierin zijn a en b de kortste en de langste zijde
(in dm) van een platte, rechthoekige vuilniszak en is x de hoogte
van de knoopstrook (in dm). |
 |
| |
Een vuilniszak met een korte zijde van 6
dm en een knoopstrook van 0,5 dm heeft een volume van 52 liter. |
| |
|
|
|
| |
a. |
Bereken de lange zijde b van de
vuilniszak. |
| |
|
|
|
| |
Voor vuilniszakken met een korte zijde
van 5 dm en een lange zijde van 7,5 dm is het volume lineair afhankelijk
van de knoopstrook x. De formule voor het volume van een
vuilniszak is dus te schrijven in de vorm V = p • x + q. |
| |
|
|
|
| |
b. |
Herleid de formule tot deze vorm. |
| |
|
|
|
| |
|
|
|