Integraalsubstituties.

© h.hofstede (h.hofstede@hogeland.nl)

       
Laten we beginnen met een primitieve die we al lang kennen, maar laten we die deze keer voor de grap eens op een enorm domme manier berekenen. Gewoon voor de grap....Het is best leuk om ook zo af en toe eens iets stoms te doen toch?

Stel dat je de primitieve wilt vinden van   1/x3

Dat kun je al lang natuurlijk (het is -1/2x2), maar stel dat je in een gekke bui als volgt redeneert:
 
 
Ik hoop dat je ziet wat er fout gaat.
Als je dat niet ziet kun je het best de gevonden primitieve gaan differentiëren en dan kijken of er  1/x3 uitkomt.
Helaas is dat niet zo! De kettingregel strooit roet in het eten.
De afgeleide van ln(x3) is namelijk gelijk aan  1/x3 • 3x2  waarbij dat laatste stuk de afgeleide van x3 is, dat is dus  u' .
       
Als je een stukje met x-en overal door u vervangt en dan met die u  primitiveert,
dan krijg je bij controle (de afgeleide van die primitieve) een ongewenste factor  u' (x)
       
De oplossing voor dit probleem lijkt eenvoudig:  vervang x-en door u en zet er daarna ook nog 1/u' bij.
Als je nu dit totaalresultaat kunt primitiveren, dan klopt de zaak wél;  die extra  1/u' valt straks weg tegen die ongewenste factor u' van de kettingregel.
In bovenstaand voorbeeld zou dan 1/x3 bij substitutie veranderen in  1/u1/3x2  en die moet je dan primitiveren.
Maar ja, dat is ook weer vervelend:  nou heb je ineens twee verschillende letters, en dan kun je weer niet primitiveren.

 

De oplossing is redelijk eenvoudig, als je je maar bedenkt dat  1/u' (x)  gelijk is aan x'(u) .

Dat komt omdat x(u) en u(x) elkaars inverse zijn, en in het begin van deze les kun je zien waarom de hellingen dan elkaars omgekeerde zijn.

Als je x'(u) gebruikt heb je alleen nog maar letters u in de te primitiveren functie.

 

Substitutie:  vervang x-en door u's en vermenigvuldig met x'(u)
       
Bij de primitieve van 1/x3  zou dat geven   u = x3  dus  x = u1/3  dus  x' =  1/3u-2/3
De functie wordt dan   1/u1/3u-2/31/3u-5/3 
De primitieve is  dan  F(u) = 1/3u-2/3 • -3/2 = -1/2u-2/3  + c
u = x3 geeft dan  F(x) = -1/2x-2  + c

Dat is natuurlijk een ontzettend omslachtige en onnodig moeilijke manier manier om deze primitieve te berekenen, maar nu klopt het in ieder geval wél!!

Er zijn echter (uiteraard!)  primitieven waarbij deze manier wél erg handig is....
       
Voorbeeld.
Probeer de substitutie  x = dan verdwijnt die wortel tenminste.
Misschien wordt het daardoor simpeler....Je weet maar nooit.....
Dat geeft  x = u2  en  x' = 2u
De primitieve daarvan is  F(u) = 2lnu + 1 + c
Vervang u weer door x en je krijgt   F(x) = 2lnx + 1 + c          (zie je trouwens dat die absolute waarde strepen er nu voor niks staan?)
       
Differentialen.
       
Misschien ben je al vertrouwd met differentialen. (dat zijn die dx en dy en dz en du dingen in integralen en bij afgeleiden)
Als dat niet zo is, sla deze alinea dan over!!!!

Als dat wel zo is, dan kun je het hele gedoe hierboven meteen vergeten. 
Immers uit  dx/du = x' (u)  volgt  direct dat dx = x' (u) • ddus dan zie je meteen dat je de dx van een integraal kunt vervangen door x' • du
Dan was deze stelling dus ook wel genoeg geweest:

 

Je mag de dx van een integraal behandelen als een differentiaal; dan is  dx = x'du
       
Integratiegrenzen.
       
Als je door substitutie overgaat van een x naar een u  dan moet je niet vergeten dat de grenzen van de integraal ook waarden voor u moeten worden!  Het is natuurlijk onzin om een waarde van x in te vullen voor u!!!  Bereken dus ook welke u-waarden bij de grenzen van je integraal horen.
       
Substitutie:  vergeet niet de integratiegrenzen ook te veranderen. 
         
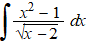
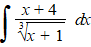
1. Geef primitieven van de volgende functies:  (aan de rechterkant staat welke substitutie handig is. Probeer dat eerst zelf te verzinnen! Kijk daar niet te snel....
         
  a.
u = (x + 1)1/3
         
  b.  

u = (x - 2)

         
  c.  

u = lnx

         
2. Bereken algebraïsch de volgende integralen:
         
  a.    
         
  b.    
         
  c.    
         
       

© h.hofstede (h.hofstede@hogeland.nl)