|
|
 |
|
|
© h.hofstede (h.hofstede@hogeland.nl)
|
|
|
De hoek van een lijn met de x-as. |
| |
|
Een rechte lijn met vergelijking y =
ax + b snijdt de x-as in een punt P. De vraag is
nu: Welke hoek maakt deze lijn met de x-as?
Het antwoord is zeer eenvoudig als je je maar bedenkt wat die
richtingscoëfficiënt ook alweer voorstelde.
Bij 1 stapje opzij gaat de lijn a stapjes omhoog, zoals je
hiernaast ziet.
Maar dan geldt in het getekende driehoekje:
tanα =
a/1 =
a
Daarmee kun je (via tan-1a) de hoek
α uitrekenen. |
 |
| |
|
|
hoek met de x-as ⇒ tanα
= a |
|
| |
|
Wat gebeurt er met een dalende
lijn?
Ik zou zeggen: probeer dat
lekker zelf even uit!
Je weet dat een dalende lijn een negatieve richtingscoëfficiënt heeft.
Probeer er maar eens een paar en kijk wat dat oplevert.
Hellingspercentage. |
Van een weg wordt de helling vaak met een hellingspercentage aangegeven.
Hiernaast zie je bijvoorbeeld een waarschuwingsbord bij de "Keuterberg"
waar de weg een helling van 22% heeft.
Wat houdt dat in?
Dat betekent dat van dit stuk weg de verticale afstand 22% van de
horizontale afstand is. Dus als je de weg afdaalt, en je legt
hemelsbreed (horizontaal) Dx
meter af, dan ben je verticaal
Δy =
0,22 •
Δx meter gedaald.
Maar dan is Δy/Δx
= 0,22 = a = tanα |
 |
| In dit voorbeeld zou gelden tanα
= 0,22 ⇒ α
= 12,4º. Dus als deze weg een rechte lijn zou zijn, dan maakte die
een hoek van 12,4º met een horizontale lijn. Nou ja...
12,4......klinkt nog niet eens zo heel steil, vind je wel? |
| |
|
| |
|
|
OPGAVEN |
| |
|
|
|
| 1. |
a. |
Bereken de hoek die de lijn y
= 5x - 8 met de x-as maakt. |
| |
|
|
|
| |
b. |
Bereken de hoek die de lijn y
= 6 - 3x met de x-as maakt. |
| |
|
|
|
| |
c. |
Bereken de hoek die de lijn
y = 5 + 0,5x met de y-as maakt. |
| |
|
|
|
| |
d. |
Een lijn gaat door (√3,5)
en maakt een hoek van 30º met de x-as. Geef een
vergelijking.
Rond de getallen daarin af op drie decimalen. |
| |
|
|
|
| |
|
|
|
| 2. |
Hiernaast zie je in één figuur de
lijnen:
y = 1 + 1/4x
en y = 8 - 2x en y = 2x
-
1 |
 |
| |
|
|
| |
a. |
Bereken hoek
α. |
| |
|
|
| |
b. |
Bereken hoek
β. |
| |
|
|
| |
c. |
Bereken hoek γ. |
| |
|
|
| |
d. |
Bereken hoek
δ. |
| |
|
|
|
| |
|
|
|
| 3. |
Twee vliegtuigen vliegen beiden de
hele tijd recht boven een landingsbaan (de x-as).
Op tijdstip t = 0 bevinden ze zich recht boven elkaar.
Het eerste vliegtuig heeft op dat moment hoogte 100m, en het
tweede een hoogte van 10 meter..
Het eerste vliegtuig daalt volgend een rechte lijn met een
dalingspercentage van 10%.
Het tweede vliegtuig stijgt volgens een rechte lijn met een
stijgingspercentage van 44%. |
| |
|
|
|
| |
 |
| |
|
|
|
| |
a. |
Geef vergelijkingen voor de banen
van de beide vliegtuigen en bereken de hoogte van het snijpunt
van die banen. |
| |
|
|
|
| |
|
|
| |
b. |
Het eerste vliegtuig daalt met een
constante snelheid van 100 km/uur. Het tweede vliegtuig heeft
ook een constante snelheid. Hoe groot zal die snelheid zijn als
de vliegtuigen met elkaar in botsing komen?
Rond je antwoord af op een geheel aantal km/uur. |
| |
|
|
|
| |
|
|
|
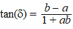
| 4. |
Voor de hoek (d)
tussen twee lijnen met richtingscoëfficiënten a en b
ontwikkelt een slimme wiskundestudent de volgende formule: |
| |
 |
| |
|
|
|
| |
Laat een voorbeeld zien waaruit
blijkt dat deze formule klopt! |
| |
|
|
|
| |
|
|
 |
|
© h.hofstede (h.hofstede@hogeland.nl)
|
|
| |
|