De Gauss-Integraal

© h.hofstede (h.hofstede@hogeland.nl)

       
Het gaat allemaal om deze integraal, en ter ere van Gauss noemen we hem voorlopig G:
       

       
Dit is niet makkelijk.
Alle normale methodes van substitutie of partieel integreren mislukken.

Maar omdat de x alleen als x2 voorkomt mag je ook wel de integraal met grenzen 0 en ∞ nemen, en dan met twee vermenigvuldigen (de functie x2 is immers symmetrisch ten opzichte van x = 0)

Doe dat, en schrijf daarna G2 op:
       

       
Voor de tweede integraal is voor de zekerheid een andere letter gekozen omdat het niet hetzelfde als de x uit de eerste hoeft te zijn. Natuurlijk doorlopen x en y beiden alle waarden tussen 0 en  ∞ maar ze hoeven niet gelijk te zijn.

Als je je nog de allereerste les over integralen met de Riemann-sommen kunt herinneren, dan zie je dat hier eigenlijk staat:
       

       
waarbij de xi en yi alle waarden tussen 0 en ∞ doorlopen. Hoe dichter op elkaar (hoe kleiner dx en dy want dat was de afstand tussen die verschillende  xi en yi),  des te beter, weet je nog??
       
Dat kun je ook zó schrijven als je de haakjes wegwerkt:  
       

       
Daarbij moet je je nog steeds bedenken dat die xi en yj  alle waarden tussen 0 en ¥  moeten aannemen. Als je het xy assenstelsel hiernaast in allemaal (liefst oneindig kleine) vakjes verdeelt, dan moet je voor elk vakje die e-macht hierboven gaan uitrekenen en vermenigvuldigen met de oppervlakte van dat vakje  (dxdy) en dan ook nog met 4.

Maar je kunt dat vlak hiernaast natuurlijk ook best op een andere manier in vakjes gaan verdelen.

 

       
Dat zie je hiernaast.

Elk "vierkantje"  (als je ze maar klein genoeg kiest klopt dat wel ongeveer) wordt nu gekenmerkt door zijn afstand tot de oorsprong (r) en door de hoek (φ) die de lijn naar de oorsprong met de x-as maakt.

Je ziet hopelijk dat nu r varieert van 0 tot ∞ en φ van 0 tot 1/2π(radialen uiteraard)

 

 

       
Hiernaast zie één zo'n alternatief "vierkantje" getekend.

De oppervlakte ervan is ongeveer  rdφ • d(zie de randen als rechte lijnen, dat mag als het maar klein genoeg is allemaal.

Een preciezere afleiding hiervan kun je vinden in de les over de Jacobiaan.

Maar in die G2 hierboven is  xi2 + yj2 natuurlijk gelijk aan rk2
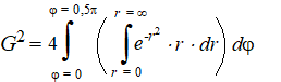
Als je die dxdy vervangt door  rkdφ• ddan wordt G2 gelijk aan:

     
Daarbij  moet rk alle waarden van 0 tot ∞ aannemen en daarna ook nog eens φ alle waarden van 0 tot 1/2π.
Al die waarden kun je natuurlijk weer bij elkaar optellen door G2 als een integraal te schrijven:
       

       
Nou is die binnenste integraal (die tussen de haakjes met die dr) op te lossen.
Als je r2 gelijkstelt aan u dan is  2rdr = du  dus rdr = 1/2du
Dat geeft:
       
en nou die buitenste integraal met φ nog:
       
       
Als G2  gelijk is aan p, dan is G kennelijk gelijk aan √π
Een mooi resultaat:

       

© h.hofstede (h.hofstede@hogeland.nl)