| |
 |
|
Het principe van Fermat. |
©
h.hofstede (h.hofstede@hogeland.nl) |
|
| |
|
|
|
Licht dat door het ene materiaal
gaat heeft een andere snelheid dan licht dat door een ander materiaal
gaat. Dat heeft tot gevolg dat een lichtstraal breking
vertoont als hij van het ene naar het andere materiaal gaat. De
invallende lichtstraal en de uittredende lichtstraal maken een hoek met
elkaar. Dat zie je hiernaast.
De normaal dat is die stippellijn hiernaast, die
loodrecht op het grensvlak van beide materialen staat. |
 |
| Als een lichtstraal van dichter naar dunner materiaal gaat dan is er
breking van de normaal af. Als hij van dunner naar dichter
materiaal gaat is er breking naar de normaal toe (zoals in
de tekening hiernaast: r <
i ) |
| |
|
|
Ik hoop dat je dat
logisch vindt:
Als je in een autootje op de snelweg rijdt en ineens gaat je
rechtervoorwiel minder snel (omdat je daarmee in de berm raakt of
zoiets) dan krijgt je autootje een afwijking naar rechts (zie
hiernaast), omdat de rest van de wielen wél even snel blijft
rijden.
De vraag is: "Wat is het verband tussen de hoeken i en r
?" |
 |
| |
|
|
|
|
Een intelligente lichtstraal. |
| |
|
|
|
Oké, als jij nou een
lichtstraal was, en je moest in de figuur hiernaast van punt P naar punt
Q gaan, en je wilde dat graag zo snel mogelijk doen, hoe zou je
dat dan doen?
Neem de afmetingen a, b en c als hiernaast, en stel
dat jouw snelheid over route PS gelijk is aan v1 en
over SQ gelijk aan v2.
Dan is de vraag dus: "waar moet je punt S kiezen?"
Ofwel: |
 |
|
|
|
Hoe groot moet x zijn zodat de
totale tijd minimaal is? |
|
| |
|
|
|
Kijk, en bij zo'n
vraag veren wij wiskundigen weer op!!!
De totale tijd minimaal betekent dus dat de afgeleide ervan nul moet
zijn. Daarom gaan we een formule voor die totale tijd opstellen, en die
dan differentiëren en nulstellen. Dat is vertrouwd terrein voor ons. |
| |
|
|
|
Als x de
afstand in de figuur hiernaast is, dan geldt PR = a- x
Tweemaal Pythagoras:
x2 + c2 = SQ2 dus
SQ = √(x2 + c2)
b2 + (a - x)2 = PS2
dus PS = √(b2
+ (a - x)2)
tijd = afstand/snelheid, dus tPQ
= PS/v1 en tSQ
= SQ/v2
Met de twee Pythagorassen hierboven geeft dat voor de totale
tijd over route PSQ: |
 |
| |
|
|
|
 |
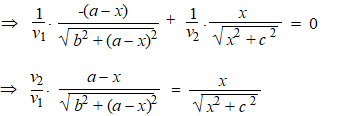
| Nu de afgeleide nul
stellen (bedenk dat de afgeleide van √x
gelijk is aan 1/(2√x)
en vergeet de kettingregel niet). |
| |
|
|
|
 |
 |
|
|
| Daar staan allemaal
bekende afstanden uit de figuur hiernaast: |
 |
 |
| De sinus in een
rechthoekige driehoek is de overstaande rechthoekszijde gedeeld door de
schuine zijde, dus: |
 |
| En daar staat een
beroemde natuurkundewet. De wet van Snellius. Als je de verhouding
v1/v2 gelijk stelt aan n
(de brekingsindex heet dat) dan luidt de wet van Snellius: |
|
|
| |
|
|
|
maar wacht eens even.....
We zijn hierboven begonnen alsof wij een intelligente lichtstraal zijn
die zo snel mogelijk van P naar Q moet gaan.
En verdomd!! Het blijkt dat lichtstralen dat inderdaad zo doen!!!
Dat heet het principe van Fermat:
|
lichtstralen volgen de route die de
minste tijd kost |
Ze kiezen dus gewoon precies de hierboven berekende route.
En ze doen dat ook nog eens vele malen sneller dan wij met al onze
berekeningen! (met de lichtsnelheid namelijk)
Zijn lichtstralen soms intelligent????
Zijn het eigenlijk ALIENS....????? |
| |
|
|
|
|
©
h.hofstede (h.hofstede@hogeland.nl) |
| |
|
|
|