|
© h.hofstede (h.hofstede@hogeland.nl) |
|||
![]() |
|||
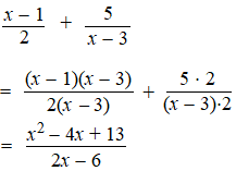
| 1. | a. |
![]() |
|
| b. |
![]() |
||
| c. |
![]() |
||
| d. |
![]() |
||
| e. |
![]() |
||
| f. |
![]() |
||
| 2. |
![]() |
||
| 3. |
![]() |
||
| 4. | a. |
![]() |
|
| b. |
![]() |
||
| 5. | twee dingen: | ||
| · | Als je het totale gescoorde deel wilt uitrekenen moet je niet die twee breuken optellen. Neem bijvoorbeeld het eenvoudige geval dat je beide dagen de helft scoort. Dan heb je in totaal echt niet 1/2 + 1/2 = 1 dus 100% gescoord. | ||
| · | Wat je wel moet doen
is er een soort van gemiddelde van nemen. Om precies te zijn een gewogen
gemiddelde: de breuk bij de 12 strafschoppen telt 12 keer mee, en die
van de 9 strafschoppen slechts 9 keer. Dat geeft: |
||
|
|||
| Dan klopt het wél..... | |||